수학에서 순열(Permutation)또는 치환은 순서가 부여된 임의의 집합을 다른 순서로 뒤섞는 연산이다.
n개의 숫자가 쓰여진 공증에서 r개의 수를 뽑아 나열한 경우의 수.
순서대로 나열한것 = "순열"
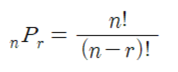
공식 (nPr)
서로 다른 n개 중 r개를 선택하는 경우의 수. (! = 팩토리얼)

3P2인 경우 공식은 3! / 1! 가 되므로 3!는 1, 2, 3 = 6이 된다(6개의 경우의 수)
모든 경우의 수를 계산하는 완전탐색에서 사용하는 알고리즘이다.
예를들어 {1, 2, 3}이 있다고 했을때 가능한 경우의 수)
1 2 3
1 3 2
2 1 3
2 3 1
3 1 2
3 2 1
구현방법 -
머리속으로 생각하기 쉽지만 구현은 어렵다.
DFS와 체크리스트를 사용하는게 가장 쉬운 방법.
코드를 외우고 있는것이 좋다.
let input = "123"
func solution(_ numbers:String) -> [Any] {
let list = numbers.map{ String($0) }
var checklist = Array(repeating: 0, count: list.count)
var number = ""
var result = [Any]()
func DFS(Depth: Int, R: Int, string: String){
//종료조건
if( Depth == R){
//조합된 수를 결과 배열에 추가
result.append(string)
}else{
//0번부터 접근하면서
for i in 0..<list.count{
if checklist[i] == 0{ //사용되지 않은 수가있다면
number += list[i] //number에 수를 추가하고
checklist[i] = 1 //checklist에 사용했다고 남김.
DFS(Depth: Depth + 1, R: R, string: number) //재귀호출 하는데 하나의 수를 선택했으니 Depth1증가
checklist[i] = 0 //재귀호출 종료 후 checklist에서 체크 해제
number = string //number를 string으로 초기화,
//초기화 하다보면 맨 처음 호출한 string =""가 되어 blank로 남게됨
}
}
}
}
DFS(Depth: 0, R: 2, string: "")
return result
}