그래프
그래프는 정점과 간선으로 구성되는 자료구조. 정점은 하나의 객체를 의미하며 Vertex 노드라고 표현한다. 간선은 정점과 전점을 이어주는 선을 의미한다.
용어
정점 : Vertex라고 하며 하나의 점을 의미한다
간선 : edge라고 하며 정점과 정점 사이를 이어주는 선을 의미한다.
정점의 차수 : 정점의 연결되어있는 간선의 개수
가중치 : 간선의 가중치
가중치 그래프
간선에 가중치를 보유한 그래프

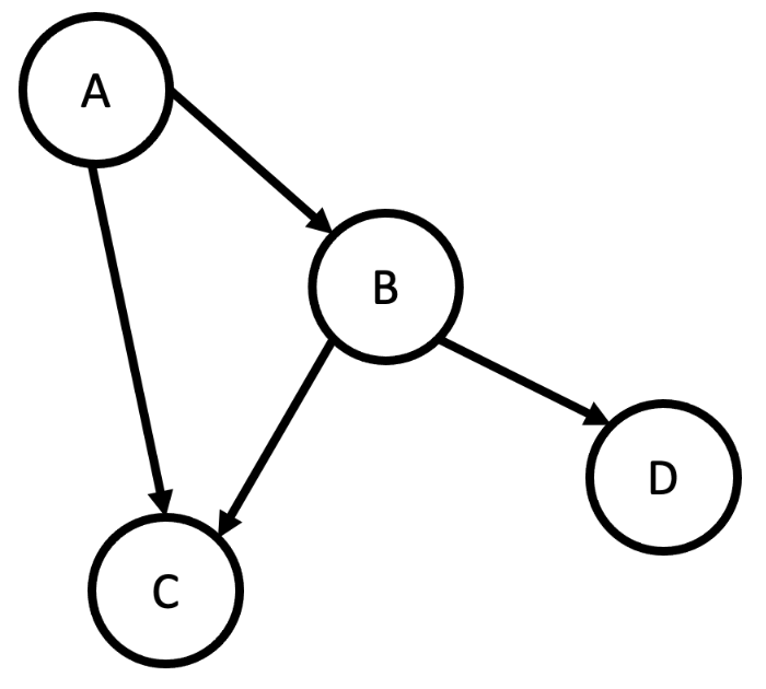
방향 그래프
간선이 방향을 가지고 있는 그래프. 간선의 방향으로만 이동이 가능하다.

그래프를 표현하는 방법
인접행렬
정점의 개수 N에 대해 N * N의 사이즈로 0과 1로 구성된 이차원 배열을 사용하여 구해주는 방법.
a라는 인접행렬을 만들었다면 a[i][j]의 값은 i번 정점에서 j로 가는 정점이 연결되어 있으면 1, 아니면 0이 된다.

인접 리스트
Linked List로 간선을 구성해주는 방법.
Linked List를 정점의 개수 N개만큼 만들어 주면 된다.

개발자 소들이
기억을 위한 기록의 공간 ✍🏻
babbab2.tistory.com